Supervisions: Worked Solutions
- It's important to have a go at questions yourself before looking at worked solutions. (See the advice page for reasons why this isn't wasted time, but a useful learning experience.) In some cases lecturers provide worked solutions a few weeks after the questions have been set.
- Several years ago I wrote worked solutions for some questions from some of the courses that I teach, and I post them here each year some time after the questions have been set. These solutions are provided subject to the condition that they are not made available to future students. In some cases they have been superseded as the lecturer has started to provide solutions since I wrote mine. In many cases the question numbering is now different.
- Let me know if you're stuck on anything for which I haven't provided a solution; I am always happy to discuss all questions in supervisions. (But I am unlikely to write any more worked solutions for this website.)
- Please let me know if you find any errors. There is a prize of one chocolate bar per error (to the first person who spots it) until further notice. Errors in question numbering (of which there are lots) do not count.
- In the worked solutions, I've used black ink and pencil to show what I would write as an answer, with red to underline answers. I've used blue ink to make comments and observations as I go along. I've used green ink for digressions. I haven't (usually) re-stated key information from the question at the start of each answer, but it's good practice to do so in your own solutions.
Michaelmas
IA Nat. Sci. Maths (Course A)
Section A: A4.
IA Nat. Sci. Maths (Course B)
Section A: A3.
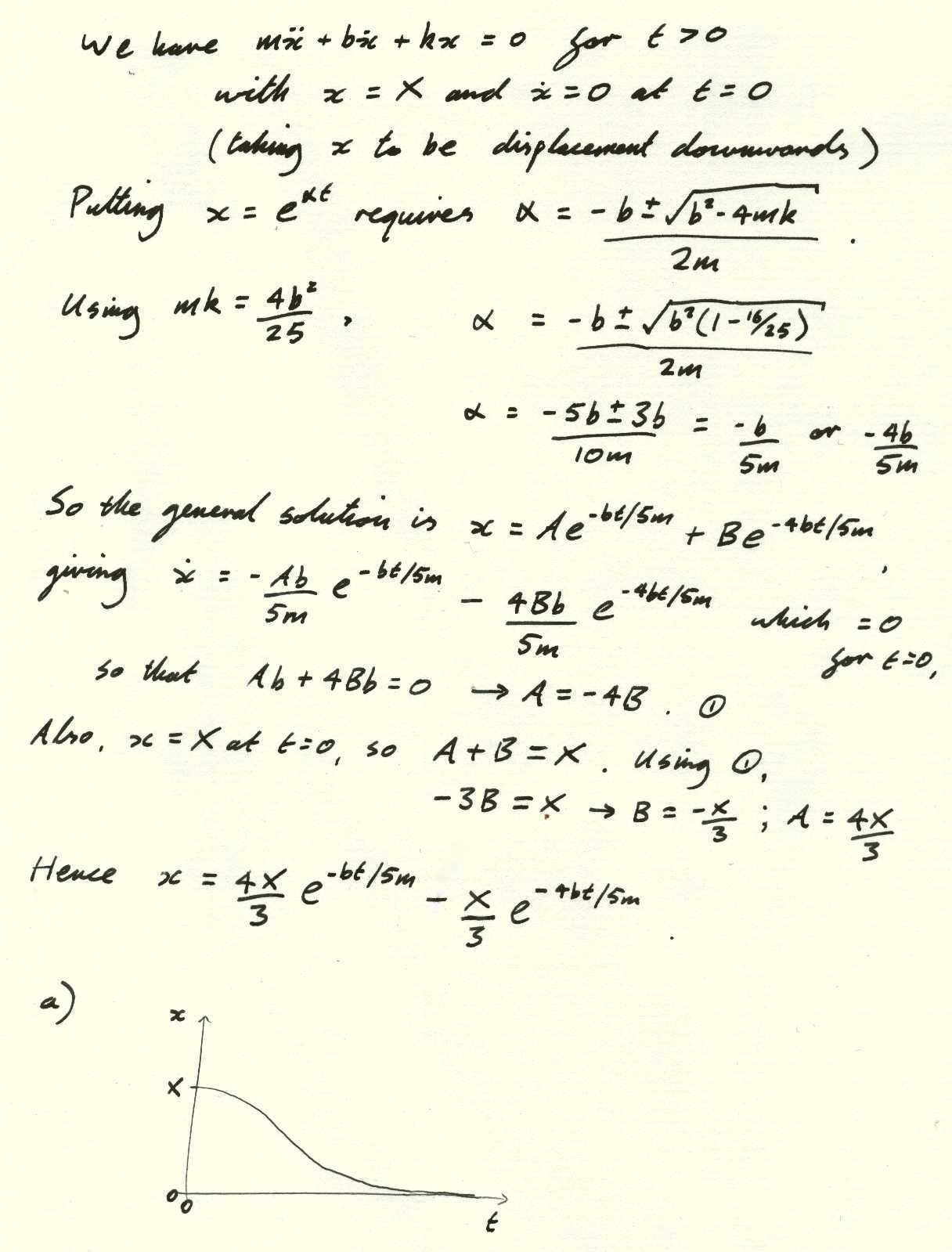
IB Physics A: Waves and Optics
Examples sheet: 1a.
IB Physics A: Quantum mechanics
Some detailed analysis (rather than a model solution) of (a former) Q16.
Everything here is copyright Matthew Smith, 2006-2012.